PRODUCT INFORMATION
Product Name
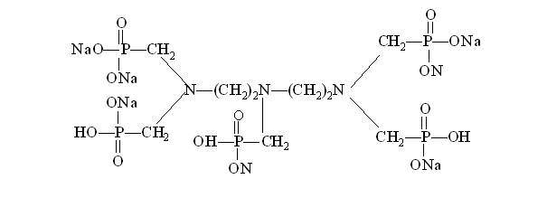
Sodium salt of Diethylene Triamine Penta (Methylene Phosphonic Acid)(DTPMP•Na7)

CAS No.
22042-96-2 (x-Na) 68155-78-2 (7-Na)

Molecular Formula
C9H21O15N3P5Na7

Structural Formula



PRODUCT DESCRIPTION

Properties:
DTPMP•Na7 is a scale inhibitor, for barium sulphate in particular and a chelating agent.DTPMP•Na7 can be used as stabilizer for peroxide bleaching, detergent auxiliaries, in industrial & municipal cleaning water, terrestrial heat water, oilfield water, etc.

Specification:

items

index

Appearance

Umber transparent liquid

Active content (DTPMPA)% >               

31.5-33.5

24.0-26.0

Active content (DTPMPANa7)%

40.0-42.5

30.5-33.0

Total phosphoric acid(PO43-)%      

25.9-27.9

19.7-21.7

Chloride ( as Cl-) %

5.0                         5.0

Fe,mg/L

20                          20

PH(1% water solution)      

7.0-9.0                    7.0-9.0

Density (20℃) g/cm3            

1.34-1.44

1.24-1.34

 

 

 

 

 

 

 

 

 

 

 

 


Package and Storage:

200L plastic drum,IBC(1000L),customers’ requirement. Storage for ten months in shady room and dry place.

Safety Protection:
Avoid contact with eye and skin, once contacted, flush with water.